CIE三刺激值的计算方法和公式
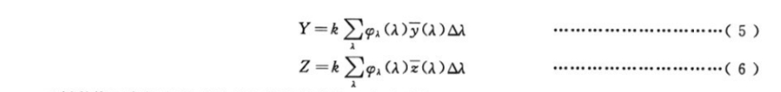
在 CIE 1931标准色度系统中,根据式(1)~式(3),三刺激值X、Y和Z被定义为360 nm~830nm光谱范围内的积分;


三刺激值通常是在相对基础上进行评价的。在这种情况下,可采用相对颜色刺激函数代替颜色刺激函数。重要的是,对于要一起考虑的刺激,所有涉及的光谱分布都要在相同的相对基础上评价。由于所有涉及的值都可以乘以相同的任意常数k,故获得的三刺激值是相对的。然而,某些情况下,k应按约定的惯例选择,这些惯例在5.3 和5.4 中解释。
注:360 nm~830nm波长范围符合 CIE 的惯用方法(ISO/CIE 11664-1和参考文献[1])。第6章规定了在360 nm~830 nm整个范围内1nm间隔数据不可用时供采用的简化方法。
下一页 : 没有了 上一页 : 色差仪同色异谱功能设置指南
同类文章排行
- 色差仪同色异谱功能设置指南
- 【风华廿五载 奋进新征程 智领新时代】三恩时二十五周年年会圆满成功
- 美在丝路:当中国传统色彩遇到丝绸之路
- 国家标准:棉花分级室的模拟昼光照明(GB/T 12386 2022)
- 印刷行业的重要参数——灰平衡评估系数ΔCh/ΔF
- 标准光源箱的质量的判断方法——外观
- 拌面酱的颜色管理方案——三恩时非接触式分光测色仪
最新资讯文章
- CIE三刺激值的计算方法和公式
- 光谱反射比与光谱反射因数的区别
- 色差仪SCE与SCI是什么意思?有什么区别?
- 三恩时新品首发:YL72非接触式分光测色仪,您的专属在线测色专家
- 甘茨白度:解读国际通用的白度测量标准
- 什么是产业用纺织品?产业用纺织品的色差标准是多少?
- 光学玻璃眼镜片毛坯的透过率是多少?——GB/T 14148-2011
- 什么是色料减色法?色料减色法和原理和应用
- 反射率和透过率有什么区别?
- 光泽度的单位是百分比%吗?什么是光泽度百分比?
- 元旦快乐 | 温情相伴,幸福可测——三恩时与您共赴2026
- 什么是光源的相对光谱功率分布?
- 色调值(网点面积)测量的方法和步骤
- 什么是发光强度?常见光源的发光强度?


